What was the point of integration? To compute areas. Which sounds strange. Don’t we already have meaningful formulas for common areas?
Example 1. Consider the graph below, with
.

Define . Show that the shaded region has area
Solution. Using integration,
In particular,
Since the shaded region is a trapezium, it has an area given by
Example 2. Consider the graph below, with
.

Define . The Greek mathematician Archimedes calculated the blue region to have an area of
. Show that the area of
is given by
Deduce that the area of is given by
.
Solution. Using integration,
In particular, .
On the other hand, has area
The region can be thought of as the “leftover” region of
after removing
, and hence has area
This pattern turns out to be true in more general settings. We will simply state this general pattern, and omit its proof (referencing it for more a more advanced study of calculus).
Theorem 1. Consider the graph below, and suppose it lies above the
-axis.

Define . Then the area of the shaded region is given by
Proof. This result is known as the famous fundamental theorem of calculus, which is rigorously proven elsewhere in the blog.
Definition 1. Given any function , make the notation
Suppose we know the functions such that
Then we define the definite integral of from
to
by
In particular, if lies above the
-axis, then
denotes the area of the region in Theorem 1.
Example 3. For , evaluate
.
Solution. Using integration,
Hence,
More generally, for any real ,
Using the definition of the definite integral, we can recover several important integration properties.
Theorem 2. Let be real constants with
. Whenever well-defined, the following definite integral properties hold:
Proof. We will prove just the third result and relegate the rest of the results as exercises. Suppose satisfies
Then
Example 4. Evaluate the exact area of the following region.

Solution. Since the area under the graph is calculated using an integral,
Remark 1. Paradoxically, a rigorous treatment of calculus first proves Theorem 2 using a more fundamental definition of integration, then uses Theorem 2 and other real-analytic tools to prove Theorem 1.
Remark 2. The theory of integration is an incredibly deep rabbit hole, arguably deeper than that of differentiation. Its uses are deep and far-reaching due to its connections with probability (which influences basically almost every area of life). However, to keep things simple, we will restrict our attention to simple computations of integrals.
The rest of this post could evolve into a mere hodge-podge of integration drills, but perhaps we can think about Theorem 1 a little more closely.
Example 5. Consider the graph of below.

Evaluate and
.
Solution. Using the linearity of integration
By Theorem 2,
If, instead, we graphed , the corresponding shaded region would lie below the
-axis.

Furthermore, it would have an area of units².
Hence, strictly speaking, the integral only accounts for the signed area, which is positive if lies above the
-axis, and negative if
lies below the
-axis.
In many ways, integration was formulated to answer problems in physics.
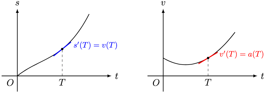
Definition 2. Sir Isaac Newton used calculus to formulate the connections between displacement , velocity
, and acceleration
at time
as follows:
We remark that these definitions agree with the usual velocity-time graph (for displacement) and the acceleration-time graph (for velocity), where we calculate the desired quantities by evaluating the areas under the graphs (hence, corresponding with the integral formulation)

He was interested in the special case when is a constant number, namely
, known as the gravitational acceleration near the surface of Earth.
Theorem 3. Given constants , suppose
.
Then
Furthermore, .
Proof. Integrating ,
Therefore,
Similarly,
where . Therefore,
In particular,
Theorem 3 lists out several common laws of kinematics, in particular, for an object moving in a straight line at constant acceleration. If instead we started by knowing the displacement , we can recover the velocity and acceleration of the particle using differentiation.
Theorem 4. The displacement , velocity
, and acceleration
of a particle moving in a straight line are related by the equations:
In particular, . This connection arises ubiquitously in physics due to Newton’s second law.
Proof. Write so that
and
Differentiating on both sides,
The argument holds similarly for .
Similarly, these connections agree with the usual displacement-time graph (for velocity) and the velocity-time graph (for acceleration), where we calculate the desired quantities at a specific time by evaluating the gradient of the tangent at that point.

We have only scratched the surface regarding applied calculus, and you can explore even more in adjacent STEM fields like physics and economics.
For now, we need to answer a crucial question. So far, we have only discussed calculus regarding the simple-enough polynomials. But can we discuss calculus on the trigonometric functions like and
, and the exponential family
and
of functions?
The answer is yes, sort of. A rigorous treatment takes a lot more effort into the nuts and bolts of calculus. Nevertheless, we can still appreciate these formulas from a visually intuitive perspective, and I think there is still a lot to enjoy from viewing it that way.
—Joel Kindiak, 23 Jan 26, 1937H
Leave a comment